Measurement Of Cantilever Strain By OFDR Technology
As an advanced optical fiber sensing measurement technology, Optical Frequency Domain Reflectometry (OFDR) has higher spatial resolution and sensitivity than optical time domain reflectometry (OTDR). It is widely used in optical fiber communication, power civil engineering and aerospace. The technical principle is that the linear sweeping light emitted by the laser is divided into two beams, one of which is used as the reference light, and the other beam is emitted as the probe light into the fiber to be tested. The Rayleigh scattered reflected light in the optical fiber is returned to the reference light, then the beat frequency interference occurs. The magnitude of the signal frequency is linear with the position of the reflected light and the shift of the signal spectrum is related to the change of strain and temperature at the position. The basic principle is shown in the figure below.

Figure 1 OFDR basic principles
The OCI1500 can achieve a spatial resolution of less than 20um within the measurement range of 200 meters. As for distributed temperature strain sensing, the spatial resolution is up to 5mm and the highest sensing accuracy is ±0.2°C/±2με. During the experiment, a polyimide coated fiber was placed on a cantilever beam with a length of 30 cm and a width of 5 cm. The signal was processed by OCI-1500 to measure the strain on the cantilever beam.
The fiber is laid along the upper and lower surfaces of the cantilever beam and formed into a loop, as shown in Figure 2.

Figure 2 Cantilever beam fiber layout
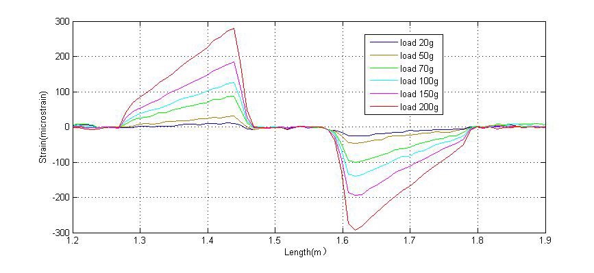
At the beginning of the experiment, the cantilever beam was loaded with 10,20,50,70,100,150,200g weights in ascending, descending order and and repeated twice. Figure 3 shows the force applied to each point of the cantilever beam detected by the OCI-1500 in a ascending sequence loading test. It can be seen from the figure that under different loads, the strain at each point of the cantilever beam is linearly distributed and take the upper and lower surface transitions as the center, the distance-strain curves are symmetrically distributed. As the load increases, the curve gradually becomes smoother, which is mainly due to the decrease of the residual stress generated when the fiber is pasted and the improvement of the measurement stability. Figure 4 and Table 1 show the strain measured at the maximum deformation of the cantilever beam in two repeated experiments. It can be seen from the table and the graph that the maximum strain of the cantilever beam is linear with the external load. It can be seen from the table and the graph that the maximum strain of the cantilever beam is linear with the external load. After fitting R2=0.9998 and comparing the figures at the same load, the deviation of single measurement at the same position is very small, which indicates that the device has good measurement repeatability and high measurement stability.

Figure 3 distance-strain curve
Load weight /g | First measurement | Second measurement |
20 | 0.0293 | 0.3797 |
50 | 0.0099 | 0.7173 |
70 | 0.0116 | 0.7704 |
100 | 0.0106 | 0.0236 |
150 | 0.0004 | 0.4225 |
200 | 0.0028 | 0.0837 |
Table 1 Repeated measurement variance

Fig.4 The strain at the maximum deformation of the cantilever beam under different loads
The simple cantilever strain test demonstrates the excellent detection performance of the OCI-1500 in distributed strain sensing. In practical engineering applications, especially in areas where power, aerospace, etc. require high measurement accuracy, the OCI-1500 can achieve a sensing accuracy of ±0.2°C/±2με, which fully demonstrates the technical advantage of OFDR in the field of high- precision measurement. The emergence of OCI-1500=fully distributed optical fiber sensing equipment greatly meets the requirements for precise positioning and real-time control in monitoring management.
